1. Высота правильной треугольной пирамиды равна h, двугранный угол при основании равен a.Найдите объемы пирамиды и вписанного в пирамиду шара.
( Решить задачу для h=3, a=60 )
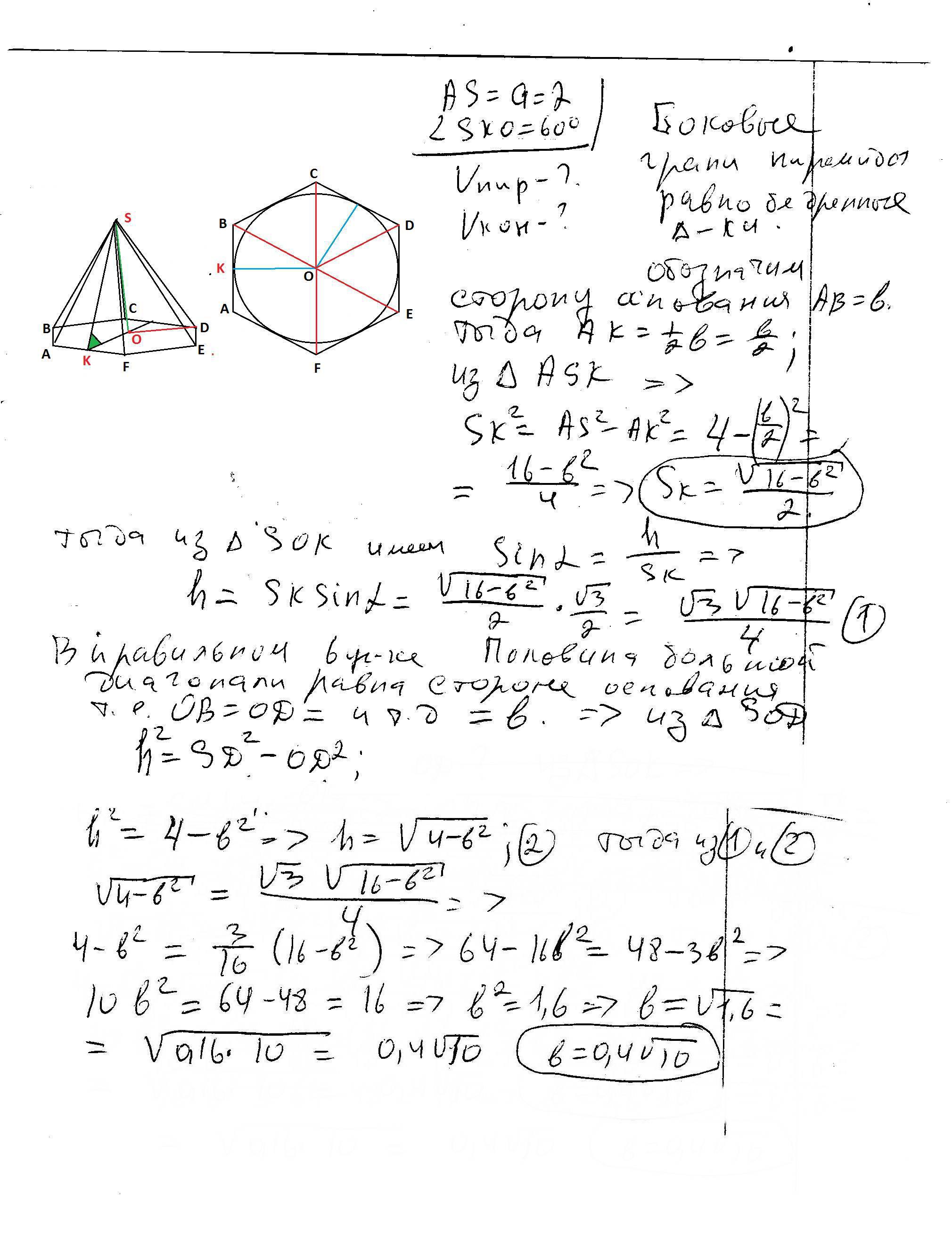
2. Боковое ребро правильной шестиугольной пирамидытравно а и составляет с плоскостью основания угол альфа. найдите объемы пирамиды и вписанного в пирамиду конуса ( мжно решать: для а=2, альфа 60 градусов
Предмет:
ГеометрияАвтор:
garrido8nnx
Автор:
zaidrqtvДобавить свой ответ
В треугольнике ABC угол С равен 90 градусов, угол А равен 30градусов, АС=34корня из 3. Найдите АВ.
Проверочное слово к слову празного, надо проверить
празнОгО
Предмет:
Русский языкАвтор:
oompa loompay75nОтветов:
Смотреть
H-COOH+Na
CH3-COOH+Ca(OH)2
H-COOH+C2H5OH
CH3COOH+Na2S
Предмет:
ХимияАвтор:
makaylazaaqОтветов:
Смотреть
о каком веществе идёт речь в стихотворении В.Шаламова?
Я пью его в мельчайших дозах,
На сахар капаю раствор,
А он способен бросить в воздух
Любую ближайших гор.