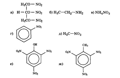
• Какие из веществ формулы которых представлены ниже,
    Относятся к классу нитросоединений? Назовите их.
    Напишите уравнение химической реакции получения одного из нитросоединений?
    Пожалуйста,помогите.

    question img

Ответы 3

  • Спасибо,а можете написать еще уравнение?
    • Автор:

      arias61
    • 6 лет назад
    • 0
  • валяй
    • Автор:

      boo boo
    • 6 лет назад
    • 0
  • нитросоединения - главная особенность - углерод д/б связан непосредственно с нитро-группой (NO2)подходят следующие варианты: г (нитробензол).д(нитрометан), е(2,4,6-тринитрофенол или пикриновая кислота), ж (2,4,6-тринитротолуол)
  • Добавить свой ответ

Войти через Google

или

Забыли пароль?

У меня нет аккаунта, я хочу Зарегистрироваться

How much to ban the user?
1 hour 1 day 100 years