• Помогите решить окислительно восстановительные реакции методом электронного баланса?

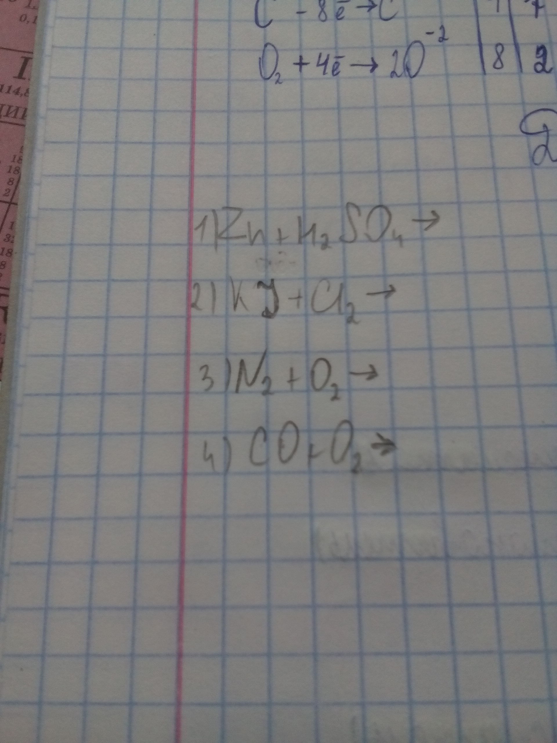
    question img

Ответы 1

  • 1)a)Zn+H2SO4(разб.)=ZnSO4+H2↑Zn(0)-2e=Zn(2+) окисление              \12H(+)+2e=H2(0) восстановление     /1Zn(0) - восстановительH(+) -  окислительб)Zn+2H2SO4(конц.)=ZnSO4+SO2+2H2OZn(0)-2e=Zn(2+) окисление                     \1S(6+)+2e=S(4+)  восстановление            /1Zn(0) - восстановительS(6+) - окислитель2)2KI+Cl2=2KCl+I22I(-1)-2e=I2(0)     окисление                      \1Cl2(0)+2e=2Cl(-1)    восстановление        /1 I(-1) - восстановительCl2(0) - окислитель3)N2+O2---(электричество)⇒ 2NON2(0)-4e=2N(2+) окисление                  \1O2(0)+4e=2O(2-) восстановление        /1N2(0) - восстановительO2(0) - окислитель4) 2СО+О2=2СО2С(2+)-2е=С(4+) окисление              1О2(0)+2е=2О(2-) восстановление   1С(2+) - восстановительО2(0) - окислитель
    • Автор:

      regina72
    • 6 лет назад
    • 0
  • Добавить свой ответ

Войти через Google

или

Забыли пароль?

У меня нет аккаунта, я хочу Зарегистрироваться

How much to ban the user?
1 hour 1 day 100 years