• Помогите с заданием!
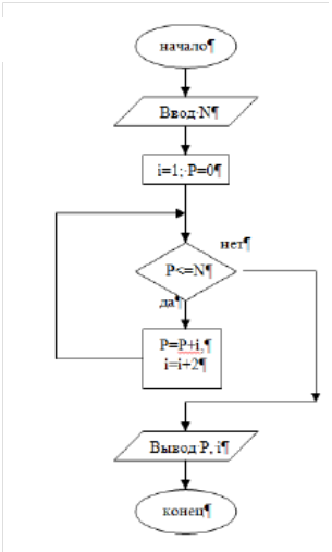
    Сделать подстановку N=14 для блок-схемы

    question img

Ответы 2

  • 2 действия  значит P = p + i и i = i +2
    • Автор:

      mikayla
    • 6 лет назад
    • 0
  • На всем протяжении блок схемы N и так не меняется)
    answer img
    • Автор:

      leefsuu
    • 6 лет назад
    • 0
  • Добавить свой ответ

Войти через Google

или

Забыли пароль?

У меня нет аккаунта, я хочу Зарегистрироваться

How much to ban the user?
1 hour 1 day 100 years