• Помогите пожалуйста с программой! 68 баллов на кону!

    question img

Ответы 1

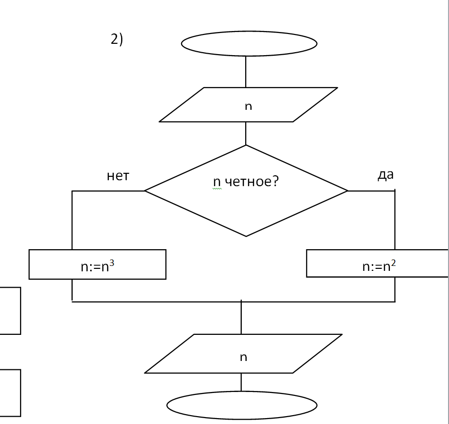
  • //Сделал Лугачев Кирилл//Специально для znanija.com/task/18305159program algoritm;var    sum, n: integer;begin    write('Введите число - ');  Read(n);    if n mod 2 = 0 then    sum := Sqr(n)  else sum := n * n * n;    writeln('n - равно: ', sum);  end.
  • Добавить свой ответ

Еще вопросы

Войти через Google

или

Забыли пароль?

У меня нет аккаунта, я хочу Зарегистрироваться

How much to ban the user?
1 hour 1 day 100 years