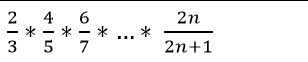
• VBA.Разработать макро функцию с одним параметром n, который рассчитываться по указному ниже выражению(n > = 1). В функции нельзя использовать оператор if
    Составе пожалуйста код и если можно алгоритм ( блок-схему )

    question img
    question img

Ответы 1

  • Function f(n As Integer) As Double    Dim p As Double, i As Integer    p = 2 / 3    For i = 2 To n        p = p * 2 * i / (2 * i + 1)    Next i    f = pEnd Function
  • Добавить свой ответ

Войти через Google

или

Забыли пароль?

У меня нет аккаунта, я хочу Зарегистрироваться

How much to ban the user?
1 hour 1 day 100 years