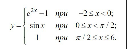
• Помогите, пожалуйста, найти ошибки и доделать программу! Задание: Для приведенной ниже функции напишите программу, вычисляющую значение
    функции в заданной точке x .

    // isvc.cpp: определяет точку входа для консольного приложения.
    //

    #include "stdafx.h"
    #include
    #include
    using namespace std;

    int main()
    {
    double x, y, p;
    const double PI = 3.14159265;
    setlocale (LC_ALL, "rus_rus.1251");
    cout <<" Введите значение х, в котором будет найдено значение функции "<< endl;
    cin >> x;
    {
    if(fabs(x)>=-2 && fabs(x)<0)
    return exp(2*x)-1;
    if(fabs(x)>=0 && fabs(x) return sin(x);
    if(fabs(x)>=PI/2 && fabs(x)<=6
    return 1;
    }
    cout << " Значение функции в точке х равно ";
    cout << y < system("pause");
    return 0;
    }

    question img

Ответы 3

  • #include "stdafx.h"#include <iostream>#include <math.h>using namespace std;int main(){ double x, p; const double pi = 3.14159265; setlocale (LC_ALL, "rus_rus.1251"); cout <<" Введите значение х, в котором будет найдено значение функции "<< endl; cin >> x; { if(fabs(x)>=-2 && fabs(x)<0) cout << exp(2*x)-1; else if(fabs(x)>=0 && fabs(x)<pi/2) cout << sin(x); else if(fabs(x)>=pi/2 && fabs(x)<=6) cout << 1; } cout << " является значением функции в точке х "; system("pause"); return 0;}
    • Автор:

      eduardo
    • 6 лет назад
    • 0
  • Вот правильный вариант
  • #include <iostream>#include <cmath>using namespace std;int main(){ double x, y, p; const double PI = 3.14159265; setlocale(LC_ALL, "rus_rus.1251"); cout << "Введите значение х, в котором будет найдено значение функции "; cin >> x; if (fabs(x) >= -2 && fabs(x) < 0) y = exp(2 * x) - 1; if (fabs(x) >= 0 && fabs(x)) y = sin(x); if (fabs(x) >= PI / 2 && fabs(x) <= 6) y = 1; cout << "Значение функции в точке х равно "; cout << y << endl; system("pause"); return 0;}
    • Автор:

      dj
    • 6 лет назад
    • 0
  • Добавить свой ответ

Войти через Google

или

Забыли пароль?

У меня нет аккаунта, я хочу Зарегистрироваться

How much to ban the user?
1 hour 1 day 100 years