• Переведите на язык программирования (паскаль) 15 БАЛЛОВ !!!!

    question img

Ответы 6

  • Вроде написала точь в точь как вы прислали, пишет что неизвестный идентификатор
    • Автор:

      pipershfz
    • 6 лет назад
    • 0
  • программа написана для ABC. на турбо могут быть различия.
    • Автор:

      lindanieq
    • 6 лет назад
    • 0
  • да, на pascalAbc все прекрасно запускается, а можете написать Б) полностью готовым?
    • Автор:

      eaglegk9n
    • 6 лет назад
    • 0
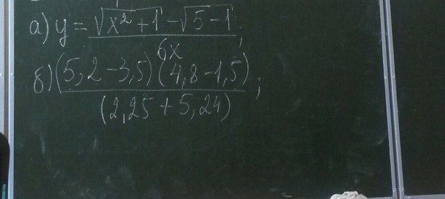
  • Var y :real;Beginy:=((5.2-3.5)*(4.8-1.5))/(2.25+5.24);WriteLn('Результат решения уравнения ',y);end.
    • Автор:

      caballero
    • 6 лет назад
    • 0
  • спасибо, лучший просто
    • Автор:

      gavyn
    • 6 лет назад
    • 0
  • a) y:= sqrt((x*x)+1)-sqrt(5-1)/(6*x);
  • Добавить свой ответ

Войти через Google

или

Забыли пароль?

У меня нет аккаунта, я хочу Зарегистрироваться

How much to ban the user?
1 hour 1 day 100 years