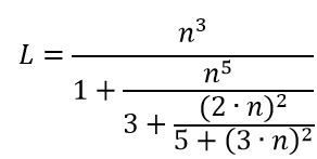
• Перевидите изображение в вид уравнения (единой строкою)

    question img

Ответы 1

  • L = n³ ÷ (1 + ( n⁵ ÷(3 + ((2*n)² ÷ (5 + (3*n)²))))
    • Автор:

      tobiepacs
    • 6 лет назад
    • 0
  • Добавить свой ответ

Еще вопросы

Войти через Google

или

Забыли пароль?

У меня нет аккаунта, я хочу Зарегистрироваться

How much to ban the user?
1 hour 1 day 100 years