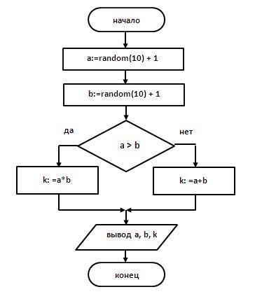
• ПОЖАЛУЙСТА!!!Составьте программу паскаль по этой схеме!!!20 баллов!!!!

    question img

Ответы 6

  • Спасибо огромное!!!!
    • Автор:

      mom7je
    • 6 лет назад
    • 0
  • Пожалуйста)
    • Автор:

      nibbyqek4
    • 6 лет назад
    • 0
  • Здравствуйте! Вы сможете мне помочь с информатикой 7 класс, алгоритмы? Если да, то я могу добавить задание
  • Здравствуйте! Вы сможете мне помочь с информатикой 7 класс, алгоритмы? Если да, то я могу добавить задание
  • Ну давайте, посмотрим.
  • На PascalABC.NETbeginvar (a,b):=(random(10)+1,random(10)+1);var k: integer;if a>b then k:=a*belse k:=a+b;writeln(a,b,k);end.
  • Добавить свой ответ

Войти через Google

или

Забыли пароль?

У меня нет аккаунта, я хочу Зарегистрироваться

How much to ban the user?
1 hour 1 day 100 years