• Помогите пожалуйста напишите математику . Подробнее даю 20 баллов

    question img

Ответы 6

  • там должно получиться -6
  • у вас неправильно
  • но Благодарю вас за это решение
  • решение правильное
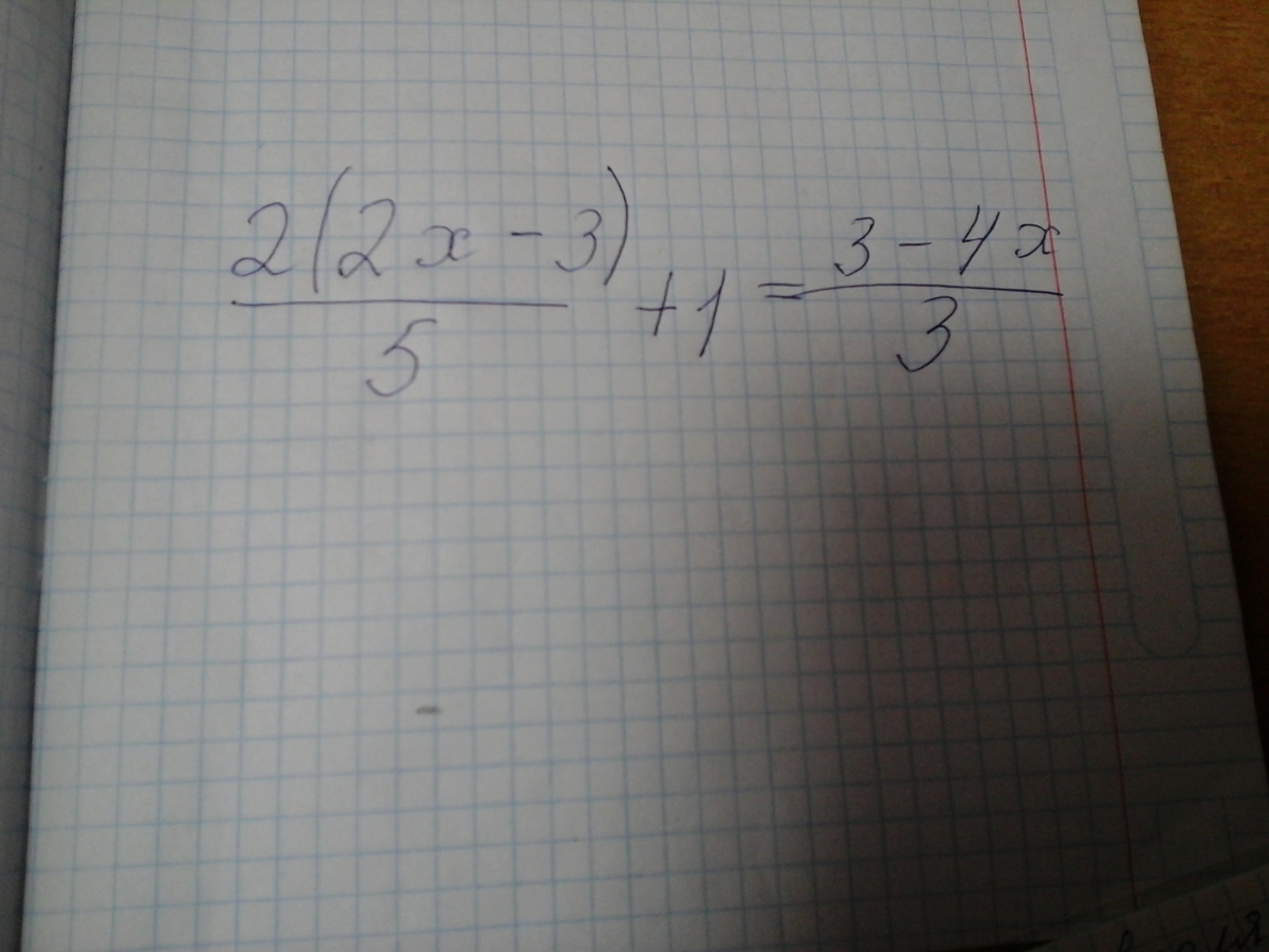
  •  \frac{2(2x-3)}{5} +1= \frac{3-4x}{3}  \\  \frac{4x-6}{5} +1= \frac{3-4x}{3}  \\  \frac{12x-18-15+20x}{15} +1=0 \\  \frac{32x-33}{15} =-1 \\ 32x-33=-15 \\ 32x=18 \\ x=18:32 \\ x= \frac{9}{16}
  • (2(2х - 3))/5 + 1 = (3 - 4х)/312х - 18 + 15 = 15 - 20х12х + 20х = 15 + 18 - 1532х = 18х = 18/32 = 9/16
    • Автор:

      laneynr2v
    • 6 лет назад
    • 0
  • Добавить свой ответ

Еще вопросы

Войти через Google

или

Забыли пароль?

У меня нет аккаунта, я хочу Зарегистрироваться

How much to ban the user?
1 hour 1 day 100 years