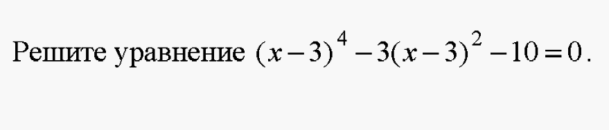
• СРОЧНО!!!!!!!!Объясните пожалуйста как решать такие уравнения:((x+3)^4+2(x+3)^2-8=0

    question img

Ответы 2

  • thanks
    • Автор:

      bella53
    • 6 лет назад
    • 0
  • hii think it'sclear . ak if you dont get
    answer img
    • Автор:

      lailacv4n
    • 6 лет назад
    • 0
  • Добавить свой ответ

Еще вопросы

Войти через Google

или

Забыли пароль?

У меня нет аккаунта, я хочу Зарегистрироваться

How much to ban the user?
1 hour 1 day 100 years