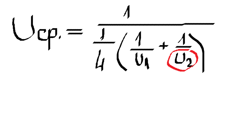
• Выразить V2,
    получается (Vср*V1)\4V1-Vср у меня,неверно(

    question img

Ответы 8

  • Нет-нет,единицы там не будет
    • Автор:

      adrienne
    • 6 лет назад
    • 0
  • во всяком случае,спасибо вам за труд:)
  • Перезагрузи страницу
  • У меня верно! Поэтому у Вас похоже тоже всё было в порядке. :)
  • Да,я уже узнала об этом из ответа выше,большое вам спасибо,значит,проблема в ответе задачи..
    • Автор:

      susie q
    • 6 лет назад
    • 0
  • Да-да,там скобки,спасибо,который раз помогаете мне!
    • Автор:

      milesfox
    • 6 лет назад
    • 0
  • v_2=\frac{v_{cp}v_1}{4v_1-v_{cp}}Похоже, у Вас всё верно (если скобки в знаменателе поставить).
    • Автор:

      greenie
    • 6 лет назад
    • 0
  • 1/4 * (1/ v1 + 1/ v2) * v(cp) = 1    |*4   (1/ v1 + 1/v2 ) * v(cp) = 4         | : Vcp    1/v1 + 1/v2 = 4 / Vcp              | - 1/ v1     1/ V2 = 4 / Vcp - 1 / V1     1 / V2 = ( 4*V1- Vcp) / ( Vcp*V1)       V2 = ( Vcp*V1) / ( 4V1 - Vcp)    
    • Автор:

      leonor46
    • 6 лет назад
    • 0
  • Добавить свой ответ

Войти через Google

или

Забыли пароль?

У меня нет аккаунта, я хочу Зарегистрироваться

How much to ban the user?
1 hour 1 day 100 years