• Помогите со степенями.
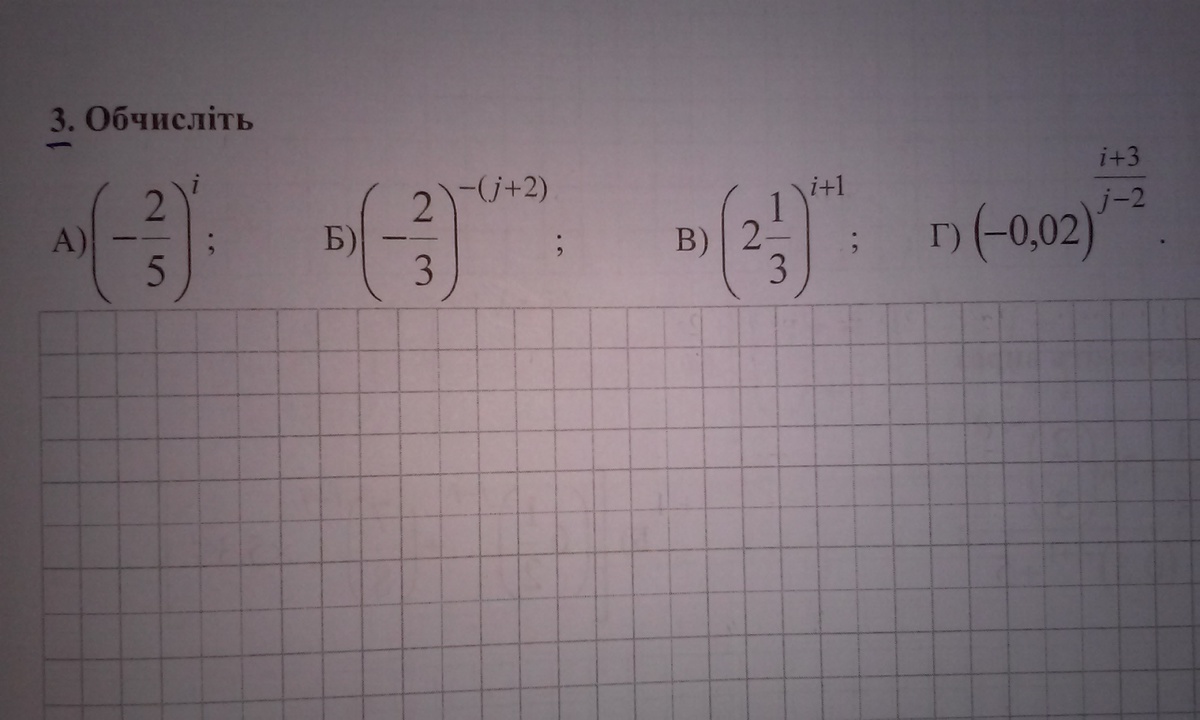
    i=2
    j=2
    Это извесные числа их просто нужно вставить.

    question img

Ответы 1

  • 1)(- \frac{2}{3})^2= \frac{4}{9} \\  \\ 2) (- \frac{2}{3})^{-(2+2)}=  (- \frac{2}{3})^{-4}=  (- \frac{3}{2})^{4}=\frac{81}{16}  \\  \\ 3) (2 \frac{1}{3})^{2+1}=  (\frac{7}{3})^{3}=  \frac{343}{27} \\  \\ 4) (-0,02 )^{ \frac{2+3}{2-2} }=(-0,02 )^{ \frac{5}{0} }на 0 делить нельзя. Получим +∞ Но (-0,02) в степени +∞ не определено. Функция у=а^x    определена при  а > 0
  • Добавить свой ответ

Еще вопросы

Войти через Google

или

Забыли пароль?

У меня нет аккаунта, я хочу Зарегистрироваться

How much to ban the user?
1 hour 1 day 100 years