• 30 БАЛЛОВ! СРОЧНО! Найти значение выражения. Решите пожалуйста все подробно. Желательно на листочке, но не обязательно.

    question img

Ответы 6

  • приравниваем к общему знаменателю
  • и умножаем числитель
    • Автор:

      chumbhun
    • 6 лет назад
    • 0
  • ща ща погодь
    • Автор:

      nguyen
    • 6 лет назад
    • 0
  • все спасибо тебе огромное!!
    • Автор:

      jorden
    • 6 лет назад
    • 0
  • а как отметить ответ как лучший?
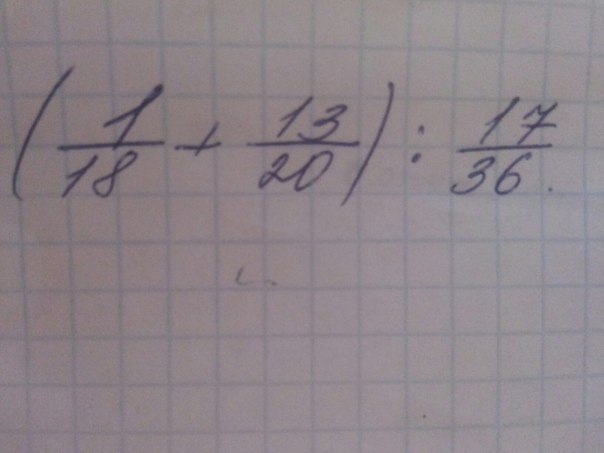
  • ответ: в скобках 127/180127/180: 17/36=1 целая 42/85
    • Автор:

      mcdaniel
    • 6 лет назад
    • 0
  • Добавить свой ответ

Войти через Google

или

Забыли пароль?

У меня нет аккаунта, я хочу Зарегистрироваться

How much to ban the user?
1 hour 1 day 100 years