• ПОМОГИТЕ РЕШИТЬ ПО ДЕЙСТВИЯМ , МАТЕМАТИКА 6 КЛАСС:

    question img

Ответы 2

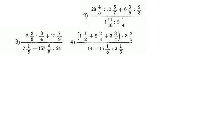
  • ответ на номер 2-1) 28 4/5:13 5/7=144/5:96/7=144/5*7/96=cокращаем=21/10=2 1/102)6 3/5:2/3=33/5*3/2=99/10=9 9/103)2 1/10+9 9/10=124)1 11/16:2 1/4=27/16*4/9=сокращаем=3/45)12:3/4=12/1*4/3=сокращаем=16
    • Автор:

      crumbles
    • 6 лет назад
    • 0
  • 2..................=161) 28 4/5:13 5/7=144/5 * 7/96=21/10=2 1/102) 6 3/5:2/3=33/5 * 3/2=99/10=9 9/103) 2 1/10+9 9/10=124) 1 11/16 : 2 1/4=27/16 * 4/9=3/45) 12:3/4=12*4/3=164................=41) 1 1/2+2 2/3+3 3/4=1 6/12+2 8/12+3 9/12=7 11/122) 7 11/12 * 3 3/5=95/12*18/5=57/2=28 1/23) 15 1/8 : 2 1/5=121/8 * 5/11=55/8=6 7/84) 14 - 6 7/8=7 1/85) 57/2 : 7 1/8=57/2*8/57=4
    • Автор:

      petronila
    • 6 лет назад
    • 0
  • Добавить свой ответ

Войти через Google

или

Забыли пароль?

У меня нет аккаунта, я хочу Зарегистрироваться

How much to ban the user?
1 hour 1 day 100 years