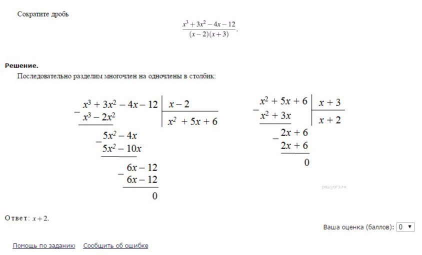
• Задание и его решение с сайта решу огэ, С1. Обязательно ли именно делением в столбик делать такие задания? Ведь тут же можно сгруппировать и вынести общий множитель, потом сократить, ответ-то такой же...

    question img

Ответы 2

  • Спасибо за ответ!
  • На этом сайте показан один из вариантов решение. Я бы тоже решала способом группировки
  • Добавить свой ответ

Еще вопросы

Войти через Google

или

Забыли пароль?

У меня нет аккаунта, я хочу Зарегистрироваться

How much to ban the user?
1 hour 1 day 100 years