• Помогите пожалуйста с математикой
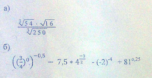
    Задание: Вычислите

    question img

Ответы 2

  • Первое ∛27*2-√16/ ∛250  =  3∛2-4 / 5∛2  =  3*4/5  =  12/5  =  2,4
    • Автор:

      jolly
    • 6 лет назад
    • 0
  • РЕШЕНИЕ СМОТРИ НА ФОТОГРАФИИ
    answer img
    • Автор:

      wheeler
    • 6 лет назад
    • 0
  • Добавить свой ответ

Войти через Google

или

Забыли пароль?

У меня нет аккаунта, я хочу Зарегистрироваться

How much to ban the user?
1 hour 1 day 100 years