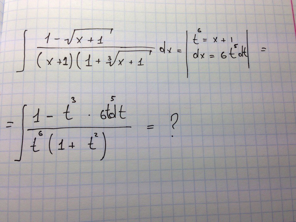
• Помогите, пожалуйста, найти интеграл. Я вроде имею понятие как найти (но это не точно), но вот в этом что то не получается, может не по правильном пути пошел. Буду благодарен за помощь

    question img
    question img

Ответы 1

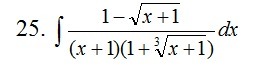
  • Да, вы верно начали решать, продолжение смотрите на фото
    answer img
    • Автор:

      kasey
    • 6 лет назад
    • 0
  • Добавить свой ответ

Еще вопросы

Войти через Google

или

Забыли пароль?

У меня нет аккаунта, я хочу Зарегистрироваться

How much to ban the user?
1 hour 1 day 100 years