Ответы 3

  • А можно было на 2a+b сразу сократить. Хотя, возможно, это и не упростило бы выкладку)
    • Автор:

      grumpy
    • 6 лет назад
    • 0
  • Я с вами согласна. Именно так и удобнее сокращать. Здесь явно сумма кубов. И вряд-ли там деление в условии, но что написано, то и есть.
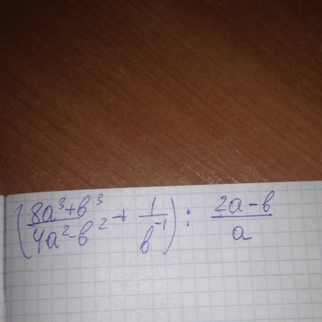
  • Решение с использованием разложения суммы кубов на множители.
    answer img
    • Автор:

      palmer
    • 6 лет назад
    • 0
  • Добавить свой ответ

Еще вопросы

Войти через Google

или

Забыли пароль?

У меня нет аккаунта, я хочу Зарегистрироваться

How much to ban the user?
1 hour 1 day 100 years