• помогите"!
    помогите"!
    помогите"!
    помогите"!
    помогите"!
    помогите"!
    помогите"!
    помогите"!
    помогите"!
    помогите"!
    помогите"!
    помогите"!
    помогите"!
    помогите"!
    помогите"!
    помогите"!
    помогите"!м

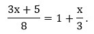
    question img

Ответы 1

  • наименьший общий знаменатель-24. дополнительные множители: для первой дроби-3, для 1  -24,для третьей дроби-8. 9x+15=24+8x; 9x-8x=24-15; x=9. Ответ: x=9.
  • Добавить свой ответ

Войти через Google

или

Забыли пароль?

У меня нет аккаунта, я хочу Зарегистрироваться

How much to ban the user?
1 hour 1 day 100 years