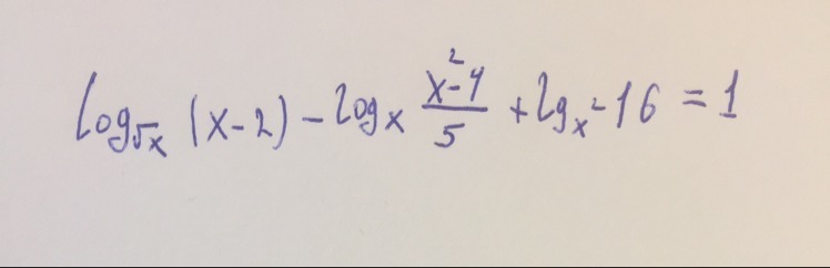
• Помогите решить логарифмическое уравнение подробно

    question img

Ответы 2

  • А в первой строчке , где приводим к общему основанию , там разве не минус log 5 по основанию x ?
    • Автор:

      laney
    • 6 лет назад
    • 0
  • так перед самим логарифмом минус ещё стоит...
    • Автор:

      maxhhrd
    • 6 лет назад
    • 0
  • Добавить свой ответ

Еще вопросы

Войти через Google

или

Забыли пароль?

У меня нет аккаунта, я хочу Зарегистрироваться

How much to ban the user?
1 hour 1 day 100 years