• Здравствуйте, помогите решить домашнее задание.


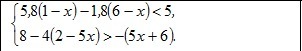
    4. Решите систему неравенств:

    question img

Ответы 1

  • {5,8 - 5,8x - 10,8 + 1,8x < 5{8 - 8 + 20x > -5x - 6{-4x < 5 + 5{25x > -6{x > 2,5{x > -0,24x∈ (2,5; +∞)
  • Добавить свой ответ

Еще вопросы

Войти через Google

или

Забыли пароль?

У меня нет аккаунта, я хочу Зарегистрироваться

How much to ban the user?
1 hour 1 day 100 years