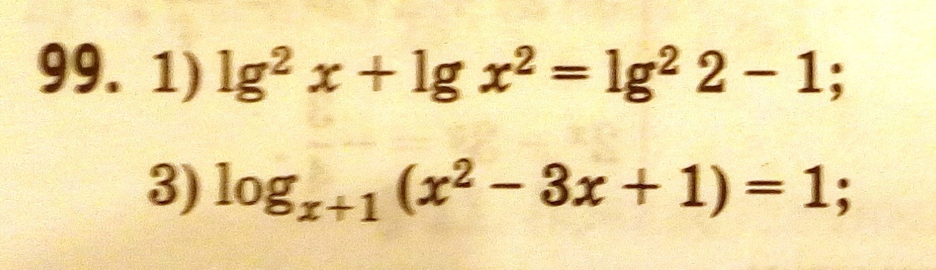
• помогите пожалуйста решить уравнения, очень-очень нужно. Буду благодарна

    question img

Ответы 4

  • огромное спасибо. если можно, разъясните как давать баллы, я с удовольствием отдам
    • Автор:

      lazarus
    • 6 лет назад
    • 0
  • поставьте лучшее решение, разве что
    • Автор:

      carmelo17
    • 6 лет назад
    • 0
  • лучшее решение
  • Решение в приложении.
    answer img
  • Добавить свой ответ

Войти через Google

или

Забыли пароль?

У меня нет аккаунта, я хочу Зарегистрироваться

How much to ban the user?
1 hour 1 day 100 years