• Даю 20 баллов!!! Помогите найти предел.

    question img

Ответы 1

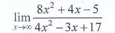
  • 1)ты должен разделить все на х в квадрате2) ты должен каждое число взять и найти предел3) лимит каждого числа ты должен сложить 4) там получается в числителе 8 + 0 - 05) в знаменателе 4 - 0 + 06) лимит выражения равен 2
  • Добавить свой ответ

Войти через Google

или

Забыли пароль?

У меня нет аккаунта, я хочу Зарегистрироваться

How much to ban the user?
1 hour 1 day 100 years