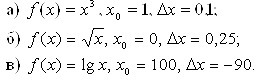
• Найти приращение функции Δ f в точке х0, соответствующее приращению Δ x, если:

    question img

Ответы 1

  • РЕШЕНИЕ1) f(х) = x³f(1) = 1, f(1.1) = 1.331 Δf = 0.331 - приращение - ОТВЕТ2) f(x) = √xf(0) = 0, f(0.25) = 0.5Δf = 0.5 - приращение - ОТВЕТ3) f(x) = lg(x)f(100) = 2, f(10) = 1Δf = -1 - приращение - ОТВЕТ
    • Автор:

      kamari
    • 6 лет назад
    • 0
  • Добавить свой ответ

Войти через Google

или

Забыли пароль?

У меня нет аккаунта, я хочу Зарегистрироваться

How much to ban the user?
1 hour 1 day 100 years