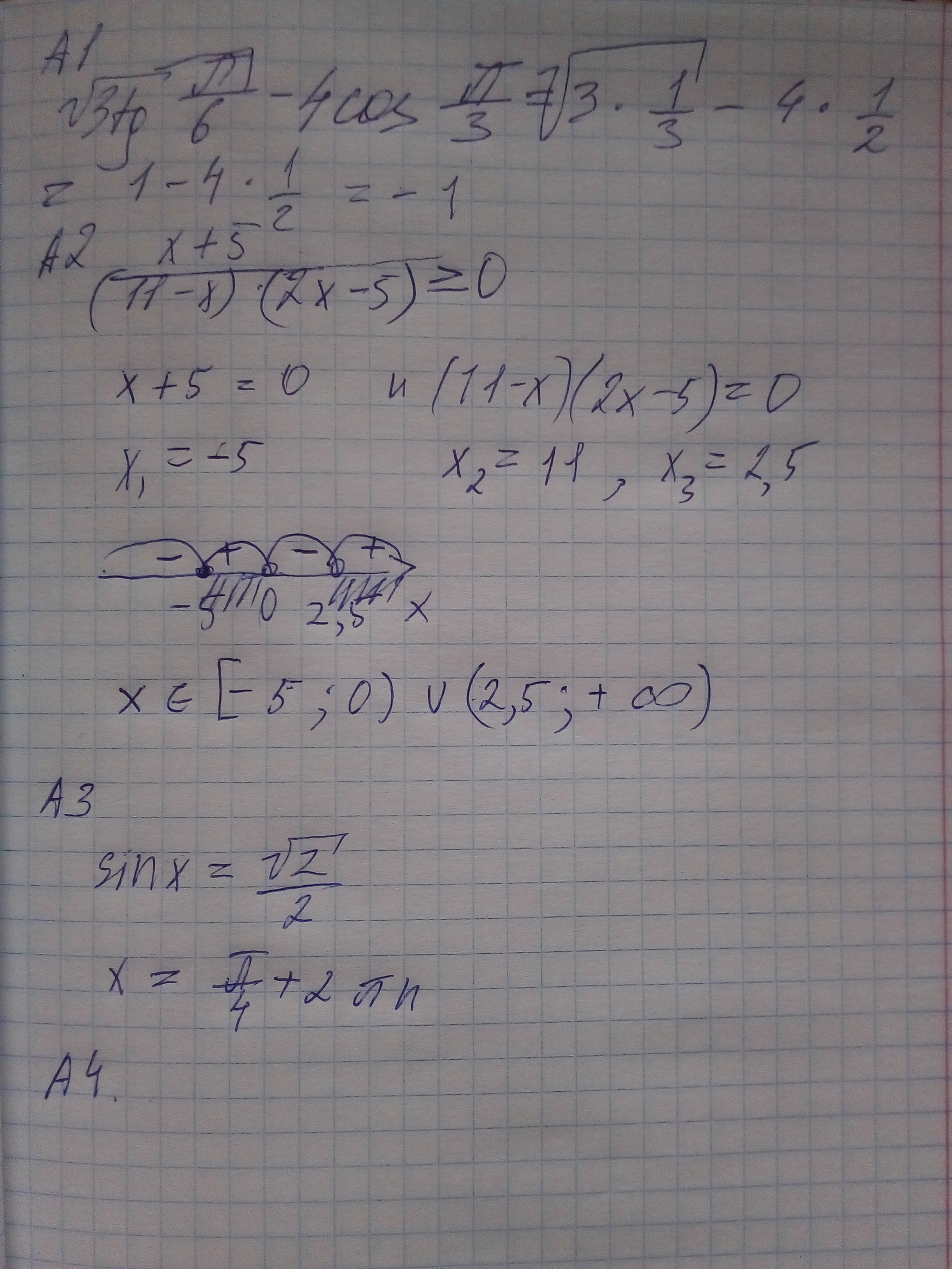
• Проверьте плиз и помогите сделать А4: "Функция задана графиком на промежутке [-5;4]. Укажите те значения x при которых функция положительна."

    question img
    question img

Ответы 4

  • А1 верно ?
  • Да
  • Если можете, то помогите, пожалуйста, с еще одним вопросом https://znanija.com/task/29183833
    • Автор:

      primo
    • 6 лет назад
    • 0
  • A4) функция положительна при х ⊂ (-2;-1)∪(2;+∞)  A2) Не верный интервал нарисован:    (-∞;-5] - положительно    (-5; 2,5) -отрицательно    (2,5; 11) - положительно    (11; +∞) - отрицательно Ответ: x∈ (-∞;-5] ∪ (2,5; 11)А3) ((-1)^k)*(π/4)+πn ,   n∈Z
    • Автор:

      maleah
    • 6 лет назад
    • 0
  • Добавить свой ответ

Еще вопросы

Войти через Google

или

Забыли пароль?

У меня нет аккаунта, я хочу Зарегистрироваться

How much to ban the user?
1 hour 1 day 100 years