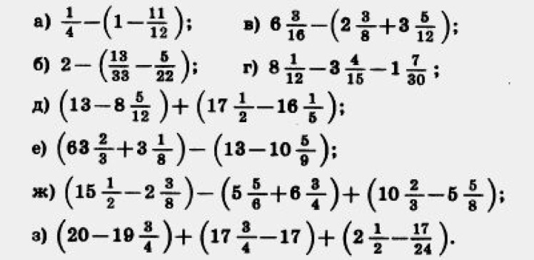
• Помогите пожаоуйста ответить на г) д) ж) з) е) желательно чтобы решение было фоткой, в тетради

    question img

Ответы 2

  • тут?
  • г) 8 \frac{1}{12}  - 3 \frac{4}{15}  - 1 \frac{7}{30}  =  \\  = 8 \frac{5}{60}  - 3 \frac{16}{60}  - 1 \frac{14}{60}  =  \\  = 7 \frac{65}{60}  - 3 \frac{16}{60}  - 1 \frac{14}{60}  =  \\  = 3 \frac{35}{60}  = 3 \frac{7}{12} д) (13 - 8 \frac{5}{12} ) + (17.5 - 16.2) =  \\  = 4 \frac{7}{12}  + 1.3 =  \\  =  4\frac{35}{60}  + 1 \frac{18}{60}  =  \\  = 5 \frac{53}{60} ж) (15.5 - 2.375) - (5 \frac{20}{24}  + 6 \frac{18}{24} ) + (10 \frac{16}{24}  - 5 \frac{15}{24} ) =  \\  = 13.125 - 12 \frac{2}{3}  + 5 \frac{1}{24}  =  \\  = 13.125 - 12 \frac{16}{24}  + 5 \frac{1}{24}  =  \\  = 13 \frac{125}{1000}  - 12 \frac{16}{24}  + 5 \frac{1}{24}  =  \\  = 13 \frac{3000}{24000}  - 12 \frac{16000}{24000}  + 5 \frac{1000}{24000}  =  \\  = 12 \frac{27000}{24000}  - 12 \frac{16000}{24000}  + 5 \frac{1000}{24000}  =  \\  =  \frac{12000}{24000}  =  \frac{1}{2}  = 0.5з) 0.25 + 0.75 + (1 \frac{36}{24}  -  \frac{17}{24}) =  \\  =  1 + 1 \frac{19}{24}  = 2 \frac{19}{24} е) (63 \frac{16}{24}  + 3 \frac{3}{24} ) - 2  \frac{4}{9}  =  \\  = 66 \frac{19}{24}  - 2 \frac{4}{9}  =  \\  = 66 \frac{57}{72}  - 2 \frac{32}{72}  =  \\  = 64 \frac{25}{72}
    • Автор:

      blairbqjv
    • 6 лет назад
    • 0
  • Добавить свой ответ

Войти через Google

или

Забыли пароль?

У меня нет аккаунта, я хочу Зарегистрироваться

How much to ban the user?
1 hour 1 day 100 years