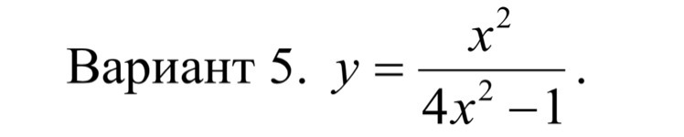
• Провести полное исследование функции и построить ее графи

    question img

Ответы 2

  • Премного благодарен)
    • Автор:

      guapo
    • 6 лет назад
    • 0
  • Ловите исследование с полным разбором. Удачи вам!

    answer img
    • Автор:

      reeves
    • 6 лет назад
    • 0
  • Добавить свой ответ

Еще вопросы

Войти через Google

или

Забыли пароль?

У меня нет аккаунта, я хочу Зарегистрироваться

How much to ban the user?
1 hour 1 day 100 years