• Очень нужно это решить, пожалуйста. И, если можно, то поподробнее)

    question img

Ответы 3

  • А как вы нашли корни в последнем неравенстве, методом подбора?
  • нет, я решила уравнение по т виета
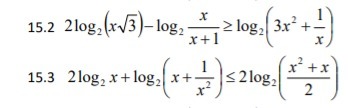
  • 2)одз x>0

    так как основания одинаковые-опущу логарифмы и только их показатели дальше

    (x√3)^2/(x/(x+1))≥3x^2+1/x

    3x(x+1)≥3x^2+1/x

    3x^2+3x≥3x^2+1/x

    3x-1/x≥0

    (3x^2-1)/x≥0

    3x^2-1≥0

    x^2≥1/3

    x=[1/√3;+∞)

    3)то же одз и так же к показателям

    x^2(x+1/x^2)≤(x^2+x)^2/4

    x^3+1≤(x^4+2x^3+x^2)/4

    4x^3+4≤x^4+2x^3+x^2

    x^4-2x^3+x^2-4≥0

    x1=-1; x2=2

    (0)-----[2]+++++

    Ответ x=[2;+∞)

  • Добавить свой ответ

Войти через Google

или

Забыли пароль?

У меня нет аккаунта, я хочу Зарегистрироваться

How much to ban the user?
1 hour 1 day 100 years