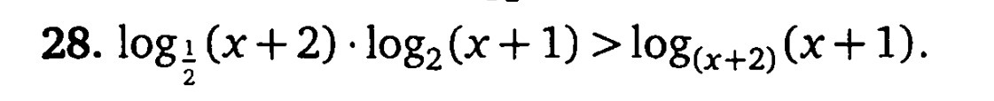
• Логарифмическое уравнение в формате ЕГЭ, подскажите как делать! Расписал ОДЗ, а вот дальше не понимаю, что надо делать!

    question img

Ответы 6

  • То есть выражение log0,5 (x+2) - log0,5 (1) перейдет в (0,5-1)*(х+2-1)
  • Если до сих пор не понятно, поищи в интернете: метод рационализации
    • Автор:

      wags
    • 6 лет назад
    • 0
  • Кстати, а этот метод случайно не называется "Метод декомпозиции?"
    • Автор:

      cloudessi
    • 6 лет назад
    • 0
  • Не слышал о таком
  • Хотя это одно и то же вроде
  • Самое разумное, это воспользоваться методом рационализации:

     log_ab-log_ac<0 \ \ \Leftrightarrow  \ \ (a-1)(b-c)<0

     log_{0,5}(x+2)*log_2(x+1)>log_{x+2}(x+1) \\ \\ (log_{0,5}(x+2)-0)(log_2(x+1)-0)>log_{x+2}(x+1)-0 \\ \\  (log_{0,5}(x+2)-log_{0,5}1)(log_2(x+1)-log_21)>log_{x+2}(x+1)-log_{x+2}1 \\ \\  (0.5-1)(x+2-1)(2-1)(x+1-1)>(x+2-1)(x+1-1) \\ \\ -0.5(x+1)x>(x+1)x \\ \\ -0.5(x+1)x-(x+1)x >0 \\ \\ -1.5(x+1)x>0 \\ \\ (x+1)x<0 \\ \\ +++(-1)----(0)+++++>_x \\ \\ x \in (-1;0)

    Ну и конечно, проверяем ОДЗ:

     \left\{\begin{matrix} x+2>0 \\ x+1>0 \\x+2 eq 1 \end{matrix}ight. \ \Leftrightarrow  \ \left\{\begin{matrix} x>-2 \\ x>-1 \\ xeq -1 \end{matrix}ight. \ \Leftrightarrow  \ x>-1

     OTBET: \ x \in (-1;0)

  • Добавить свой ответ

Войти через Google

или

Забыли пароль?

У меня нет аккаунта, я хочу Зарегистрироваться

How much to ban the user?
1 hour 1 day 100 years