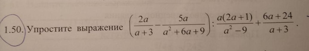
• Упростить выражения. Напишите, пожалуйста подробное решение, а то у меня ошибка и я не могу найти ее

    question img
    question img

Ответы 4

  • 1.50. В конце просто 7.
    • Автор:

      frank61
    • 6 лет назад
    • 0
  • Упс... Ну, конеечно же. Вы правы!!!
    • Автор:

      tankgbjb
    • 6 лет назад
    • 0
  • 1.50

    (2а(а+3)-5а / (а+3)^2) * (a-3)(a+3) / 2a^2+a + 6a+24 / a+3 = 2a^2+a / (a+3)^2 * (a-3)(a+3) / 2a^2+a + 6a+24 / a+3 = a-3 / a+3 + 6a+24 / a+3 = a-3+6a+24 / a+3 =

    7a+21 / a+3 = 7(a+3) / a+3 = 7(a+3)

    1.40

    (1 / x(1-x) - x+1 / x ) : (x^2 - x(x-1) / x-1)^2 * ( x+1-(x-1) / (x-1)(x+1) ) = ( 1-(x+1)(1-x) / x(1-x) ) : (x^2-x^2+x / x-1)^2 * (x+1-x+1 / (x+1)(x-1) ) = ( 1-(1-x^2) / x(1-x) ) : ( x / x-1 )^2 * ( 2 / (x-1)(x+1) ) = (x^2 / x(1-x) ) : ( x^2 / (x-1)^2 ) * ( 2 / (x-1)(x+1) ) = - ( x^2 / x(x-1) ) * ( (x-1)^2 / x^2 ) * ( 2 / (x-1)(x+1) ) = - ( x-1 / x ) * (2 / ( (x-1)(x+1) ) = - 2 / x(x+1) = - 2/ x^2+x

  • Решение задания приложено

    answer img
  • Добавить свой ответ

Войти через Google

или

Забыли пароль?

У меня нет аккаунта, я хочу Зарегистрироваться

How much to ban the user?
1 hour 1 day 100 years