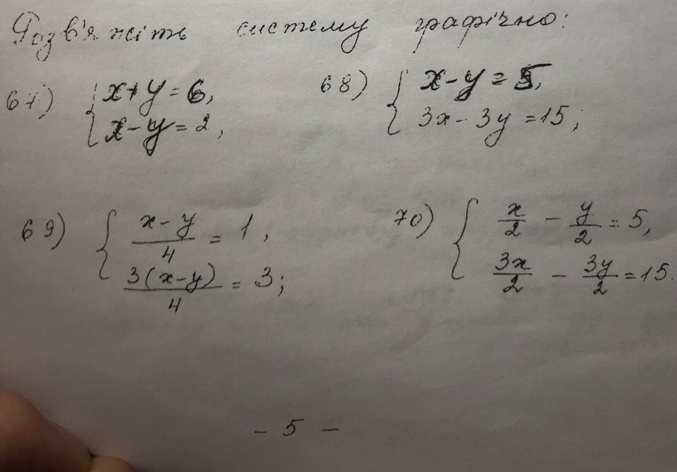
• СРОЧНО! ПОМОГИТЕ! БУДУ ОЧЕНЬ БЛАГОДАРНА! Розв"яжіть систему графічно (решите систему графически) ТОЛЬКО 69 и 70 системы нужно.

    question img

Ответы 6

  • Спасибо большое! А что за приложение?
  • это на фото , которые я прикрепила в ответе
    • Автор:

      sydnee
    • 6 лет назад
    • 0
  • В смысле?
    • Автор:

      barton
    • 6 лет назад
    • 0
  • На фото просто решение Ваше, а приложение какое?
  • это и есть приложение, будьте внимательны, решение первой системы переделанно
  • решение первой системы исправлено и добавлены графики

    answer img
    • Автор:

      midgelevs
    • 6 лет назад
    • 0
  • Добавить свой ответ

Войти через Google

или

Забыли пароль?

У меня нет аккаунта, я хочу Зарегистрироваться

How much to ban the user?
1 hour 1 day 100 years