• ХЕЛП ПЛИЗ, РАЗДЕЛИТЕ ЕТА, ГАЛАВА ВАЩЕ НЕ ПЕРЕВАРИВАЕТ

    question img

Ответы 7

  • как в исламе тип
    • Автор:

      donovan31
    • 6 лет назад
    • 0
  • одним словом, полагаться на удачу
    • Автор:

      short
    • 6 лет назад
    • 0
  • ахахаха, ну удачи тогда)))
  • сыпасиба
    • Автор:

      giménez
    • 6 лет назад
    • 0
  • ))
    • Автор:

      porter96
    • 6 лет назад
    • 0
  • короче, вроде правильно
    answer img
    • Автор:

      kaylin
    • 6 лет назад
    • 0
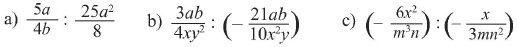
  • a) \:  \frac{5a \times 8}{4b \times 25 {a}^{2} }  =  \frac{2}{4b}  \\  b) \frac{3ab \times ( - 10 {x}^{2} y)}{4x {y}^{2}  \times 21ab}  =  \frac{ - 5x}{14y}   \\  c) \frac{ - 6 {x}^{2} \times 3m {n}^{2}  }{ {m}^{3} n \times ( - x)}  = \frac{18xn}{ {m}^{2} }
    answer img
  • Добавить свой ответ

Войти через Google

или

Забыли пароль?

У меня нет аккаунта, я хочу Зарегистрироваться

How much to ban the user?
1 hour 1 day 100 years