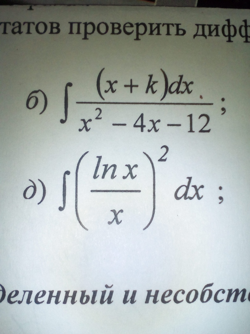
• помогите решить. Найти неопределенные интегралы.значение k=1

    question img

Ответы 1

  • 1)\; \; \int \frac{(x+1)\, dx}{x^2-4x-12}=\int \frac{(x+1)dx}{(x-6)(x+2)}=\frac{7}{8}\int \frac{dx}{x-6}+\frac{1}{8}\int \frac{dx}{x+2}=\\\\=\frac{7}{8}\, ln|x-6|+\frac{1}{8}\, ln|x+2|+C\; ;\\\\\star \; \; \frac{x+1}{(x-6)(x+2)}=\frac{A}{x-6}+\frac{B}{x+2}\; ;\\\\x+1=A(x+2)+B(x-6)\; ;\\\\x=-2:\; \; -2+1=B(-2-6)\; ,\; \; B=\frac{1}{8}\\\\x=6:\; \; 6+1=A(6+2)\; ,\; \; A=\frac{7}{8} \; .

    2)\; \; \int \Big (\frac{lnx}{x}\Big )^2dx=\int \frac{ln^2x}{x^2}dx=\Big [\, u=ln^2x\; ,\; du=2lnx\cdot \frac{dx}{x}\; ,\\\\dv=\frac{dx}{x^2}\; ,\; v=-\frac{1}{x}\; \Big ]=-\frac{ln^2x}{x}+2\int \frac{lnx}{x^2}dx=\Big [\, u=lnx,\; du=\frac{dx}{x},\\\\dv=\frac{dx}{x^2}\; ,\; v=-\frac{1}{x}\; \Big ]=-\frac{ln^2x}{x}+2\cdot (-\frac{lnx}{x}+\int \frac{dx}{x^2})=\\\\=-\frac{ln^2x}{x}-\frac{2\, lnx}{x}-\frac{2}{x}+C=-\frac{1}{x}\cdot (ln^2x+2\, lnx+2)+C

    • Автор:

      barton
    • 6 лет назад
    • 0
  • Добавить свой ответ

Войти через Google

или

Забыли пароль?

У меня нет аккаунта, я хочу Зарегистрироваться

How much to ban the user?
1 hour 1 day 100 years