• Решите два уравнения и проверьте правильно ли решили. Помогите пожалуйста

    question img

Ответы 1

  • Ответ:

    Уравнения имеют одинаковый корень: -3,5

    Пошаговое объяснение:

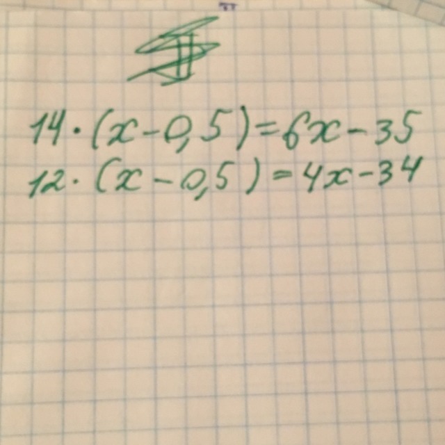
    14*(x-0,5)=6x-35

    14x-7=6x-35

    14х-6х=7-35

    8х= -28

    х= -28:8

    х= -3,5

    Ответ: -3,5

    12*(х-0,5)=4х-34

    12х-6=4х-34

    12х-4х=6-34

    8х= -28

    х= - 28:8

    х= - 3,5

    Ответ: -3,5

    • Автор:

      jessie
    • 6 лет назад
    • 0
  • Добавить свой ответ

Еще вопросы

Войти через Google

или

Забыли пароль?

У меня нет аккаунта, я хочу Зарегистрироваться

How much to ban the user?
1 hour 1 day 100 years