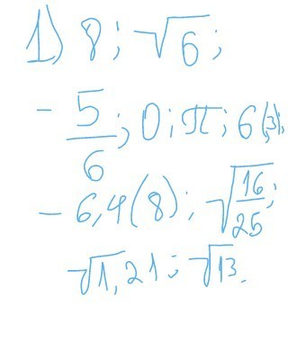
• 1)Покажите рациональные или иррациональные числа. дам много баллов 10 баллов

    question img

Ответы 4

  • спс большое
    • Автор:

      valerie
    • 6 лет назад
    • 0
  • спс бальшое
    • Автор:

      mary7
    • 6 лет назад
    • 0
  • Відповідь:

    Ті що обведені-раціональні, інші ірраціональні

    Покрокове пояснення:

    answer img
  • Ответ:

    Пошаговое объяснение:

    рациональные числа можно представить в виде обыкновенной дроби  

    т.е. 8   -5/6   0  6,(3)     -6,4(8)  

    иррациональные это все остальные

    answer img
    • Автор:

      hodge
    • 6 лет назад
    • 0
  • Добавить свой ответ

Войти через Google

или

Забыли пароль?

У меня нет аккаунта, я хочу Зарегистрироваться

How much to ban the user?
1 hour 1 day 100 years