• Здравствуйте.Помогите найти пределы функций,не пользуясь правилом Лопиталя

    question img

Ответы 1

  • Классика:

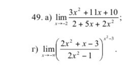
    \displaystyle \lim_{x \to -2} \frac{3x^2+11x+10}{2+5x+2x^2}=\lim_{x \to -2}\frac{(x+2)(3x+5)}{(x+2)(2x+1)}=\frac{1}{3}

    \displaystyle \lim_{x \to- \infty} (\frac{2x^2+x-3}{2x^2-1})^{x^2-3}=1^\infty=\lim_{x \to- \infty} (1+\frac{x-2}{2x^2-1})^{x^2-3}=\\=[\lim_{x \to- \infty} (1+\frac{x-2}{2x^2-1})^{\frac{2x^2-1}{x-2}}]^{\frac{(x^2-3)(x-2)}{2x^2-1}}=e^{\displaystyle\lim_{x \to- \infty} \frac{(x^2-3)(x-2)}{2x^2-1}}=\\=e^{-\infty}=0

  • Добавить свой ответ

Войти через Google

или

Забыли пароль?

У меня нет аккаунта, я хочу Зарегистрироваться

How much to ban the user?
1 hour 1 day 100 years