• помогите решить пожалуйста. Надо провести полное исследование функции и построить график​

    question img

Ответы 2

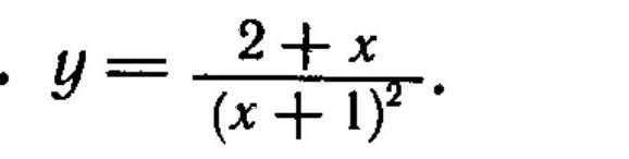
  • Не все пункты исследования приведены. Есть ошибки: область значений не от -14, а от (-1/4).
  • Область определения: (−∞;−1)∪(−1;∞);{x|x≠−1}(-∞;-1)∪(-1;∞);{x|x≠-1}Область значений: [−14;0)∪(0;∞);{y∣∣∣y≠0,y≥−14Возрастает на: (−3;−1)(-3;-1).Убывает на: (−∞;−3);(−1;∞)(-∞;-3);(-1;∞).
    answer img
  • Добавить свой ответ

Войти через Google

или

Забыли пароль?

У меня нет аккаунта, я хочу Зарегистрироваться

How much to ban the user?
1 hour 1 day 100 years