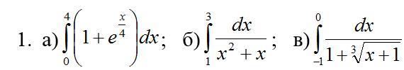
• ПОМОГИТЕ ПОЖАЛУЙСТА РЕШИТЬ ЭТИ ОПРЕДЕЛЕННЫЕ ИНТЕГРАЛЫ. ОГРОМНАЯ ПРОСЬБА НА ЛИСТИКЕ ЗАРАНЕЕ ОГРОМНОЕ СПАСИБО! 35 БАЛЛОВ. ПОМОГИТЕ ПОЖАЛУЙСТА

    question img

Ответы 1

  • Ответ:

    Пошаговое объяснение:

    answer img
  • Добавить свой ответ

Еще вопросы

Войти через Google

или

Забыли пароль?

У меня нет аккаунта, я хочу Зарегистрироваться

How much to ban the user?
1 hour 1 day 100 years