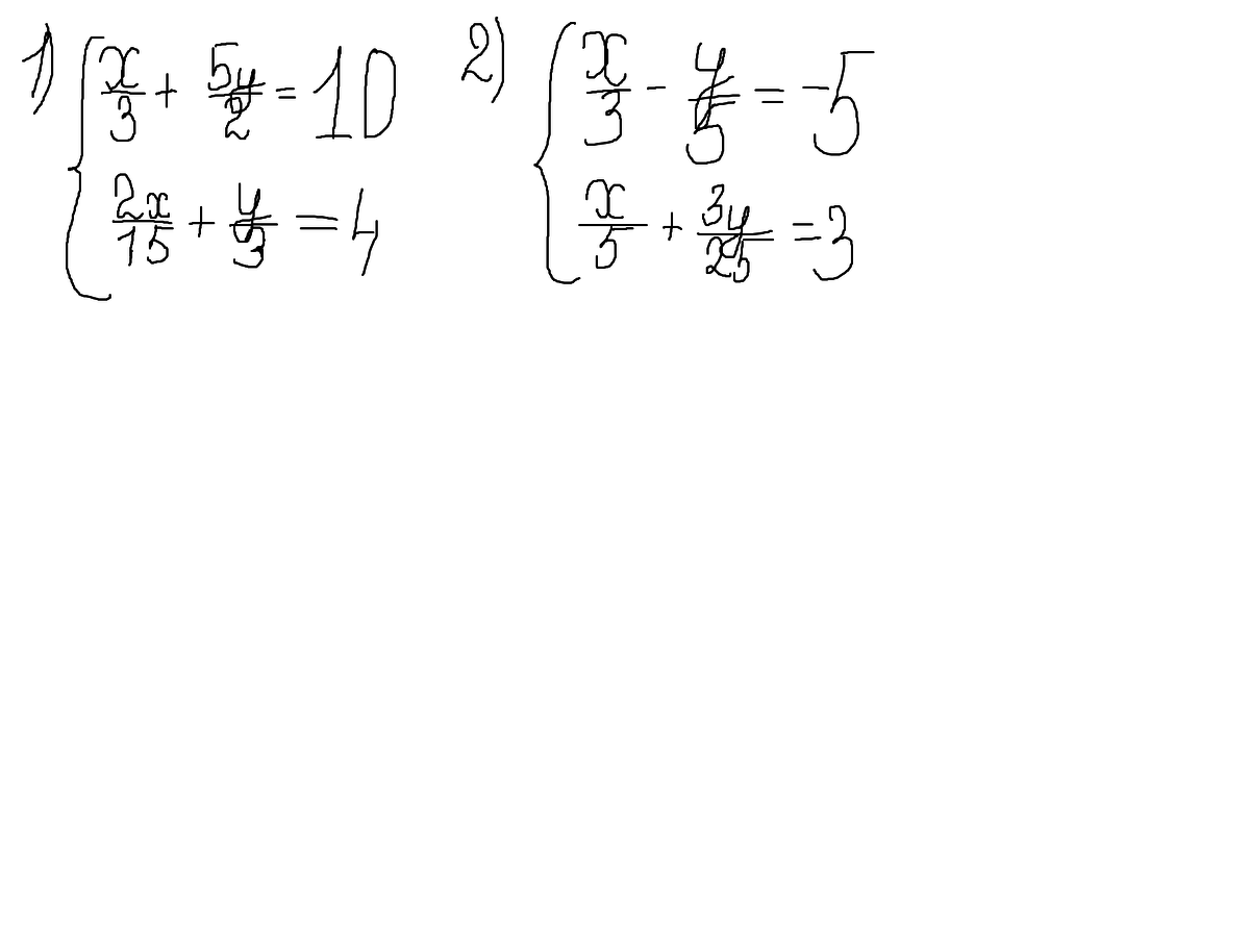
• Помогите срочно!!!!!!! Надо решить способом подстановки.

    question img

Ответы 2

  • Первую систему лучше решить вычитанием,а вторую сложением.1)х=30. 2)х=0 У=0. У=25
    • Автор:

      javon
    • 6 лет назад
    • 0
  • Решение на листочке ниже
    answer img
    • Автор:

      aspen8zva
    • 6 лет назад
    • 0
  • Добавить свой ответ

Еще вопросы

Войти через Google

или

Забыли пароль?

У меня нет аккаунта, я хочу Зарегистрироваться

How much to ban the user?
1 hour 1 day 100 years