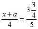
• 4. При каком значении а корнем уравнения будет число 0,3?
    (Фотка уравнения в №4)

    question img

Ответы 3

  • Спасибо! Я в 6 классе,спасибо!
    • Автор:

      kanebryan
    • 6 лет назад
    • 0
  • подставляем вместо х - 0,3 и решаем уравнение относительно а;0,3/4+а/4=15/4*1/5;3/40+а/4=3/4;а/4=3/4 - 3/40=30/40 -3/40=27/40;а=27*4/40=27/10=2,7.
  • x=0,3\\\frac{0,3+a}4=\frac{3\frac34}5\\1,5+5a=4\cdot3\frac34\\5a=15-1,5\\5a=13,5\\a=2,7
    • Автор:

      faithmogg
    • 6 лет назад
    • 0
  • Добавить свой ответ

Еще вопросы

Войти через Google

или

Забыли пароль?

У меня нет аккаунта, я хочу Зарегистрироваться

How much to ban the user?
1 hour 1 day 100 years