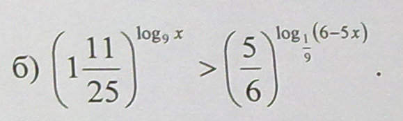
Одз: x>0 и 6-5x>0 пересечением является неравенство 0<x<6/5
(36/25)^log9(x)>(5/6)^ -log9(6-5x)
(6/5)^log9(x в квадрате )>(6/5)^ log9(6-5x)
тк 6/5>1 то неравенство выше равносильно неравенству
x^2>6-5x
x^2+5x-6>0
решением этого неравенства явл x<-6 и x>1
найдем пересечение с ОДЗ, получает что 1<x<6/5
Автор:
rightyv5wqДобавить свой ответ
1)Дети может бытъ не менъше нас взрослых ищут одного руководящего начала и ариадниной нити которая бы выводила их из лабиринта их детских недоразумений.
2)Мы должны чаще вспоминатъ замечателъных мастеров изобретателей из народа самоучек которых было тысячи: от подковавших блоху до тружеников -солдат выигравших многочисленные войны которые под статъ было выигратъ лишъ сказочным богатырям.
вставитъ знаки препинания. провести полный синтаксический разбор предложений.
Предмет:
Русский языкАвтор:
gilliant8vrОтветов:
Смотреть
из "АСЯ" (написал Тургенев) Объяснить как драму-рассказчика помогают понять слова Тургенева: 1. Молодость есть пряники золоченые, да и думает, что это-то и есть хлеб насущный; а придет время - и хлебца напросишься 2. У счастья нет завтрашнего дня, у него нет и вчерашнего, оно не помнит прошедшего, не думает о будущем, у него есть настоящее и то не день, а мгновение. (Прошу помогите очень надо!!! можно сделать или 1 или 2)
Предмет:
ЛитератураАвтор:
messiahmlfuОтветов:
Смотреть
Предмет:
МатематикаАвтор:
nina83Ответов:
Смотреть
Для 27 люстр закупили 23 упаковки лапочек по 8 лампочек в каждой.Хватит ли этого количества лампочек ,если для каждой люстры необходимо 7 лампочек?
Предмет:
МатематикаАвтор:
pennyconradОтветов:
Смотреть