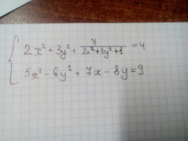
• Докажите, что система уравнений не имеет решений.
    Заранее спасибо большое за вашу помощь.

    question img

Ответы 3

  • А куда убралось 5x^2 - 6y^2 + 7x - 8y = 9
  • Объясните, пожалуйста
    • Автор:

      reagan98
    • 6 лет назад
    • 0
  • Просто это система уравнений, если одно уравнение не имеет действительных корней, следовательно система уравнений не имеет действительных корней.
    • Автор:

      schotzie
    • 6 лет назад
    • 0
  • Добавить свой ответ

Войти через Google

или

Забыли пароль?

У меня нет аккаунта, я хочу Зарегистрироваться

How much to ban the user?
1 hour 1 day 100 years