• ПОМОГИТЕ,пожалуйста,очень надо решить,а то мне капец!!!

    question img

Ответы 1

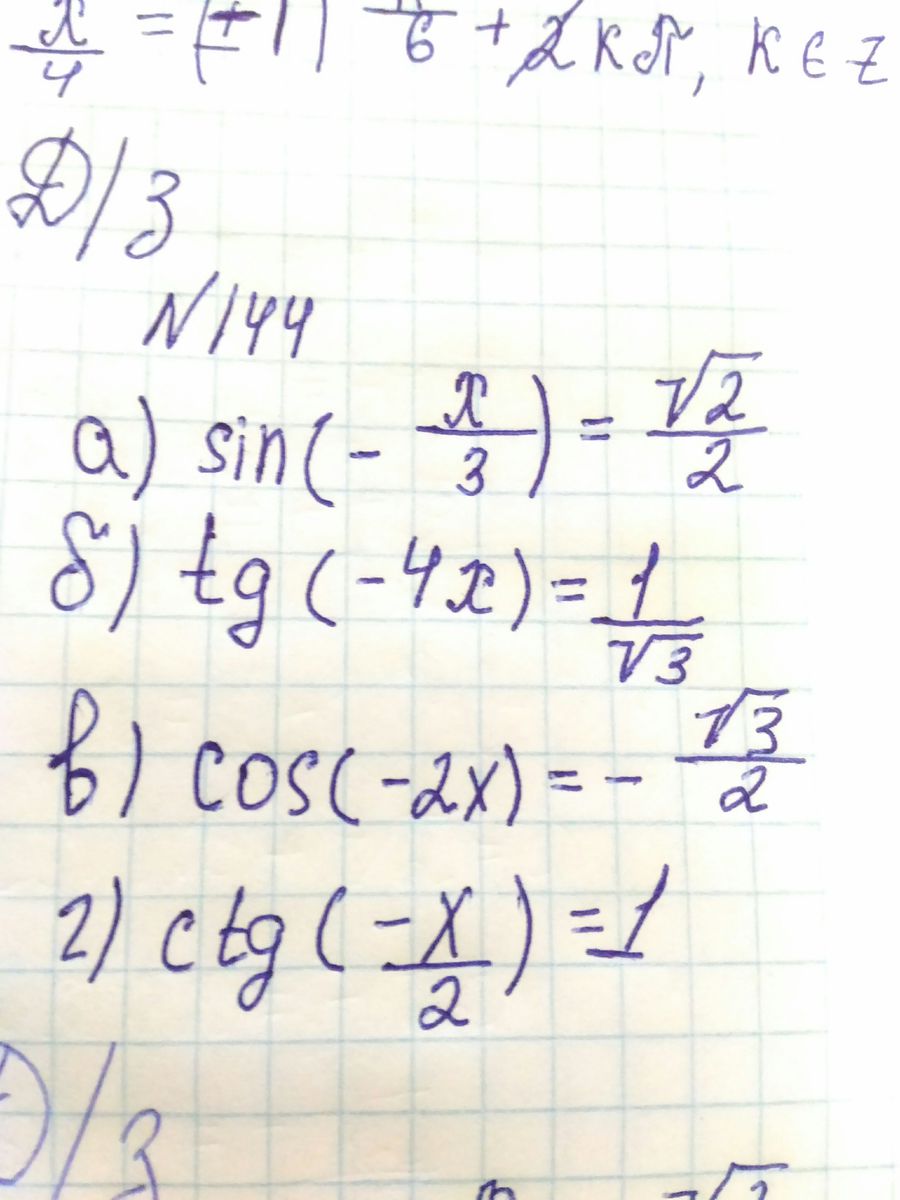
  • 1) \\  \frac{x}{3}=-arcsin \frac{ \sqrt{2}}{2} \\  \frac{x}{3}=- \frac{ \pi }{4}  \\ x=- \frac{3 \pi }{4}  \\ 2) \\ 4x=-arctg \frac{1}{ \sqrt{3}y}  \\ 4x=- \frac{ \pi }{6}  \\ x=- \frac{ \pi }{24}  \\ 3) \\ 2x=arccos \frac{ \sqrt{3} }{2}  \\ x= \frac{ \pi }{12}  \\ 4) \\  \frac{x}{2}=-arcctg 1 \\  \frac{x}{2} = \frac{ \pi }{4}   \\ x= \frac{ \pi }{2}
    • Автор:

      loser93
    • 6 лет назад
    • 0
  • Добавить свой ответ

Войти через Google

или

Забыли пароль?

У меня нет аккаунта, я хочу Зарегистрироваться

How much to ban the user?
1 hour 1 day 100 years