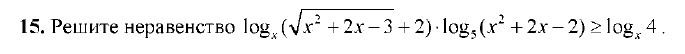
• Помогите решить, пожалуйста! №15 из профильного ЕГЭ по математике.
    Ответ [2*sqrt(2)-1; +∞)

    question img

Ответы 2

  • О, большое спасибо! Но позволю себе одну поправку - 2-й график y=log5(t^2+1) всегда положителен и будет проходить через начало координат. Поэтому мы не рассматриваем случай, когда оба множителя отрицательные:)
    • Автор:

      dusty38
    • 6 лет назад
    • 0
  • Мне пришлось знатно помучаться, чтобы его решить. Не дай бог такое на егэ попадется.
    answer img
    • Автор:

      max13
    • 6 лет назад
    • 0
  • Добавить свой ответ

Войти через Google

или

Забыли пароль?

У меня нет аккаунта, я хочу Зарегистрироваться

How much to ban the user?
1 hour 1 day 100 years