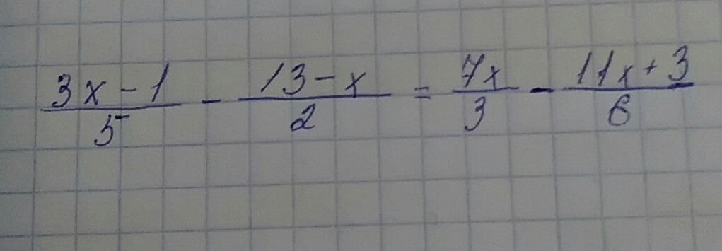
• решите пожалуйста уравнение ( оно решается с помощью домоножения)
    у меня все время получается 10 1/3, и мне кажется, что это неправильный ответ

    question img

Ответы 1

  • там во 2 строчке будет не 195+15х?
  • Добавить свой ответ

Еще вопросы

Войти через Google

или

Забыли пароль?

У меня нет аккаунта, я хочу Зарегистрироваться

How much to ban the user?
1 hour 1 day 100 years