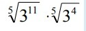
• 1)вычислить (на скрине)

    2)скрин 2 развязать уравнение

    question img
    question img

Ответы 5

  • какой ответ?
  • немного не понятно)
  • 2;3
    • Автор:

      duncan12
    • 6 лет назад
    • 0
  • спс
  • Решение во вложении.
    answer img
  • Добавить свой ответ

Войти через Google

или

Забыли пароль?

У меня нет аккаунта, я хочу Зарегистрироваться

How much to ban the user?
1 hour 1 day 100 years