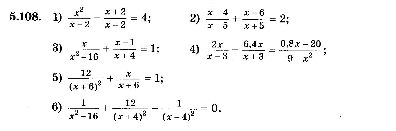
Уравнения на тему: "Уравнения содержащие переменную в знаменателе"
Первое уравнение.
Приводим подобные:
x^2/x-2 - x/x-2 - 2/x-2=4
Упрощаем:
x^2/x-2 - x/x-2 - 2/x-2 -4=0
Ответ: x=3.
Второе уравнение.
Делаем преобразование левой части уравнения:
x-4/x-5 + x-6/x+5 = 2*(x^2-5x+5)/(x-5)*(x+5)
Уравнение после преобразования:
2*(x^2-5x+5)/(x-5)*(x+5) =2
Приводим подобные:
x/x+5 - 6/x+5 + x/x-5 - 4/x-5 = 2
Упрощаем:
x/x+5 - 6/x+5 + x/x-5 - 4/x-5 - 2=0
- 10*(x-6)/(x-5)*(x+5)=0
1/x-5=0
1/x+5=0
Ответ: x=6.
Третье уравнение.
x/x^2-16 + x/x+4 - 1/x+4=1
x/x^2-16 + x/x+4 - 1/x+4 -1=0
- 4*(x-5)/(x-4)*(x+4)=0
1/x-4=0
1/x+4=0
x=5
Четвертое ур-ие:
2x/x-3 - 6.4x/x+3 = 0.8x/9-x^2 - 20/9-x^2
- 0.8x/9-x^2 + 20/9-x^2 - 6,4x/x+3 + 2x/x-3=0
- 2*(11x^2-65x+50)/5*(x-3)(x+3)=0
1/x-3=0
1/x+3=0
11x^2=65x+50=0
D=b^2-4ac=(-65)^2-4*(11*50)=2025
X1,2= -b плюсминус крень D/2a = 65 плюсминус корень 2025/22
x=5
Автор:
aurorabarrettДобавить свой ответ
в треугольниках АВС и А1В1С1 уголС=С1=90градусов;уголВ=В1
если ВС=2,АС=1,cosA1 равен?
Предмет:
ГеометрияАвтор:
marccontrerasОтветов:
Смотреть
Водород, занимающий объем 5 л и находящийся под давлением 10^5 Па, адиабатно сжат до объема 1 л. Найдите работу сжатия и изменение внутренней энергии водорода.
Предмет:
ФизикаАвтор:
dumbledorejaa1Ответов:
Смотреть
Определите работу силы тяги двигателя на пути 80м, если сила тяги равна 6,5 кН
Предмет:
ФизикаАвтор:
chanceandrewsОтветов:
Смотреть