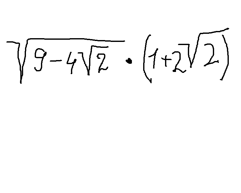
Помогите пожалуйста справиться с вычислением, а то никак не разберусь как такое решать: смотрите во вложениях,(извините, что коряво написано :)
ответ 7, решение в файле
Автор:
shadow64xrДобавить свой ответ
Предмет:
ГеометрияАвтор:
vincentwsegОтветов:
Смотреть
прямая АВ касается окружности с цетром О радиуса 2 см в точке А, так что ОА=АВ. Чему равен отрезок ОВ?
Кути ромба відносяться як 1:2, а менша діагональ дорівнює 6см.Знайдіть площу ромба.
Можно на русском.
Углы ромба относятся как 1:2, а меньшая диагональ равна 6 см. Надите площать ромба.
1) В стране К прошли парламентские выборы. На некоторых избирательных участках предстоит повторное голосование, так как баллотирующиеся кандидаты не смогли набрать необходимого большинства голосов. Избирательная система в стране К может быть охарактеризована как :
a) консенсусная
б) мажоритарная
в) смешанная
г) пропорциональная
2)Верны ли следующие суждения о социальных группах:
A) образование в обществе соц групп связано с переходом в индустриальную фазу развития.
Б) Отношения во во всех соц группах обязательно регулируются офиц. док. 1) верны оба
2) верно только а
3) верно только б
4) оба неверны
Что из перечисленного может быть проиллюстрировано высказыванием :" Хороший врач тот, кто умеет лечить"?
a) соц норма
б) соц роль
в) социализация
г) соц мобильность
Предмет:
ОбществознаниеАвтор:
bellednhuОтветов:
Смотреть